
1
何为回归分析#

又到一年预算季,仓库经理们,你们的运费预算做好了吗?如果还没有,那么希望下文能对你们有所帮助。
众所周知,仓储发运的运费与企业的销售额具有强相关性,如果您手上有明年的销售额预测值,也有一组销售额和运费的历史值,那么我们就可以轻松的运用回归分析法进行预测。
所谓回归分析,就是根据相关关系的具体形态,选择一个合适的数学模型,来近似地表达变量间的依赖关系。根据自变量的多少,回归模型可以分为一元回归模型和多元回归模型。根据回归模型是否线性,可以分为线性回归模型和非线性回归模型。而我们仓库经理们可以先利用历史数据进行模型模拟,检验和预测。
2
运用回归分析法进行运费预估案例#

假设我们知道2016年的每月销售额及其对应的运费以及2017年的预计销售额,我们就可以利用回归分析法进行2017年的运费预测了。
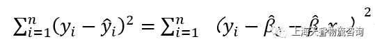
首先,根据回归分析,我们得出运费Y和销售额X之间的关系是Y=
,其中运费值Y是因变量,销售额X是自变量,
为模型的参数,是固定值,但未知。
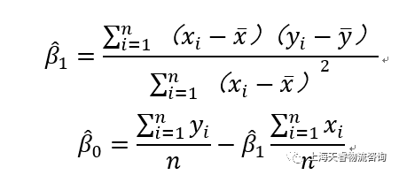
接下来我们根据2016年的历史数据运用最小二乘法进行
的求解。最小二乘法是通过最小化误差的平方和寻找数据的最佳函数匹配。
假设我们有n对历史销售额和运费值,那么根据最小二乘法,使得

最小。
设Q=
,在给定了样本数据后,Q是
和
的函数,且最小值总是存在。根据微积分的极值定理,对Q求相应于
和
的偏导数,并令其等于0即可求出
和
的估计量:

例,某公司2016年实际销售额与运费如下表1:

计算可得, ,
将此值代入2016年的实际销售额与运费表之后可得表2:

由表2可知预测值与实际值的偏差率在11%以内,基本可信,可用于进行下一年度运费预测。
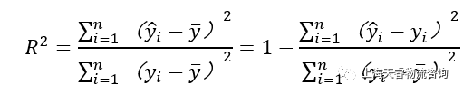
同时,我们也可用决定系数对这个回归模型进行拟合效果分析。决定系数,也成为,可以测度回归直线对样本数据的拟合程度,其计算公式如下:

的取值在0到1之间,大体上说明了回归模型所能解释的因变量变化占因变量总变化的比例。决定系数越高,越接近1,说明模型的拟合效果就约好,即模型解释因变量的能力越强。
根据上面估计的回归方程,利用表1数据的计算结果,计算决定系数为0.79,拟合效果较好。
如果我们希望数据更加精准,还可以从以下几个方面进行更进一步的细化分析:
**历史运费值:**考虑历史运费值到底当月运费发生值还是当月财务支付值(通常企业查看的是财务支付值),建议有条件的尽量采用与销售额所匹配的运费发生值,而不是贪图简便,直接拉取财务报销值,这样偏差率会很大,所以运费的取值精准度相当重要;
**业务区分:**是否可以将销售额和运费值进行国际业务和国内业务细分,国际国内发运业务存在很大的区别,相对来说此项区分还是比较容易实现的。
**客户运输方式细分:**不管是国内客户还是国际客户都存在不同的运费方式,甚至同一客户在不同的条件下也会存在不同的运输方式,各位想把数据做得更精准的话就尽量根据自身的条件进行细分,比如国际业务可以分为:国际空运客户、国际海运客户、仅承担报关费的客户,国内客户可以细分为空运客户、陆运客户、自提客户等等。
综上所述,只要我们手头有一组强相关的历史数据,然后采用回归分析法列出方程,利用最小二乘法进行系数求值,再利用决定系数进行相关性验证,让我们的预算也变得更加科学和精准吧。

部分原创文章(更多精彩,请关注公众号):
一、供应链规划与优化#
- 【干货】面向智能制造的智慧供应链建设
- 你需要的什么样的工厂园区建设与供应链策略?
- 你的企业为什么做不好生产计划 ——制造企业生产计划管理的七大现状问题
- 制造企业供应链应该修炼的五项能力——家居制造企业的“修真之路”
- 3个现状+7个问题+1个案例告诉你,为什么中小企业供应链物流规划不得不为!
制造企业库存控制的三板斧:察、谋、砍#
- 用时间管理消灭库存与空间——制造企业库存控制的八大时间管理
- 制造企业供应链物流改善切入点(一):物料齐套管理
- 制造企业供应链物流改善切入点(二):订单交付管理
- 制造企业供应链物流改善切入点(三):客户交期管理
- 邱伏生:我们需要“爆款供应链”,而不是“伪爆款”
订单交付管理在供应链改善中的重要性#
制造企业应如何解读自己的供应链#
邱伏生:物流装备企业进入制造业物流的路径建议#
企业推广生产工单的6点理由#
二、新工厂规划 / 智能工厂规划#
- 为何说未建厂前资深规划师名言“一句话,价值一千万”
- 【是否同感】“智能工厂规划”只缺一个立体库?
- 新工厂规划系列——装卸货月台前货车弯道宽度数学建模及计算
- 关于物流系统中,投资回报率的一点看法
- 生产厂房防火分区设计
- 自动化立体库系统的5大间接优势
- 【系列】自动化物流系统成功运行的前提:具备几点物流基础
- 【经验分享】智能工厂规划实施过程中需注意的3个陷阱
- 【分享】某德国工业4.0标杆工厂内的8种物料搬运技术
立体库建设中,甲方需要知道的几个建筑参数#
三、生产物流优化#
- 物料包装规划设计10大原则与物料标准包装3个层级
- 物料包装规划之标准器具选型与选用
- 【案例】论零部件包装规划和设计——以某汽车零部件企业包装改善案例为切入点
- 浅谈物流计划的精髓:事前预防和事中控制
- 三分钟教你快速识别制造企业生产物流管理瓶颈
- 实战案例 | 看专家分析仓库现场物流痛点
- 精益物流系统工具系列——PFEP成功推进的5个关键点
物流包装规划系列-3:包装尺寸与数量设计#
四、MMOG/LE系列#

